Nhảy đến nội dung
Toggle navigation
GIỚI THIỆU
Giới thiệu chung
Phòng ban
Khoa
Trung tâm
Mục tiêu - Sứ mạng - Tầm nhìn
Ban Giám Hiệu
Cơ sở vật chất
ĐÀO TẠO
Trung Cấp
Thường Xuyên
Liên Kết Đào Tạo
Chương Trình Đào Tạo
Chuẩn Đầu Ra
Biểu Mẫu
TUYỂN SINH
Trung Cấp
Sơ Cấp
Thường Xuyên
Liên Kết Đào Tạo
Tin Học - Ngoại Ngữ
Tư Vấn Tuyển Sinh
Hồ Sơ Tuyển Sinh
HỌC SINH - SINH VIÊN
Thông báo
Nội Quy
Thư Viện Hình Ảnh
QUAN HỆ DOANH NGHIỆP
ĐẢNG - ĐOÀN THỂ
Đảng
Công Đoàn
Đoàn Thanh Niên
02753.822.854
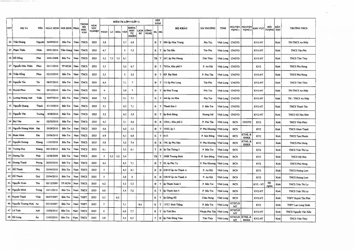
Thông báo trúng tuyển đợt 2 niên khóa 2025-2027
Ngày đăng: T6, 09/19/2025 - 10:55
Thông báo trúng tuyển đợt 2 Niên khóa 2025 - 2027